문제:
두 자연수 N과 P를 가지고 다음 과정을 거쳐서 나오는 숫자들을 차례대로 출력해보자. 처음 출력하는 숫자는 N이고, 두 번째 이후 출력하는 숫자들은 N을 곱하고 P로 나눈 나머지를 구하는 과정을 반복하여 구한다. 즉, 먼저 N에 N을 곱하고, 이 수를 P로 나눈 나머지를 두 번째에 출력한다. 다음에는 이 나머지에 N을 곱하고 P로 나눈 나머지를 출력한다. 다음에는 이 나머지에 N을 곱한 후 P로 나눈 나머지를 출력한다. 이 과정을 계속 반복해보면 출력되는 숫자들에는 반복되는 부분이 있다.
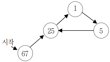
예를 들어서, N=67, P=31인 경우를 생각해보자. 처음 출력되는 숫자는 67이고, 두 번째로 출력되는 숫자는 67×67 = 4489를 31로 나눈 나머지 25이다. 다음에는 25×67 = 1675를 31로 나눈 나머지 1, 다음에는 1×67 = 67을 31로 나눈 나머지 5가 차례대로 출력된다. 다음에는 5×67 = 335를 31로 나눈 나머지 25가 출력되는데, 이 수는 이미 이전에 출력된 수이다. 이 과정을 그림으로 보이면 다음과 같다.

즉 이 과정을 반복하면, 처음 67을 제외하면 3개의 숫자 25, 1, 5가 계속 무한히 반복되게 된다. 또 다른 예로, N=9, P=3을 가지고 시작하면, 9×9 = 81이고 3으로 나눈 나머지는 0이며, 0×3 = 0이고 3으로 나눈 나머지도 0이기 때문에 처음 9를 제외하면 0이 무한히 반복되게 된다.
N과 P를 입력받아 위와 같이 정의된 연산을 수행하였을 때, 반복되는 부분에 포함된 서로 다른 숫자의 개수를 구하는 프로그램을 작성하시오.
입력:
첫째 줄에 처음 시작하는 N과 P가 공백을 사이에 두고 주어진다. 단, 1 ≤ N ≤ 1,000, 2 ≤ P ≤ 97이다.
출력:
첫째 줄에 반복되는 부분에 포함된 서로 다른 숫자의 개수를 출력한다.
풀이방법:
while 반복문을 사용하여, 주어진 조건에 따라 계속해서 연산을 진행하다가 memory에 같은 같이 존재하면 반복문을 종료하는 방식으로 문제를 해결한다. 이 때, 싸이클이 반드시 처음 시작한 숫자로부터 시작되는 것이 아니기 때문에 종료된 숫자가 있는 인덱스를 찾아서 전체 memory에서 빼줌으로써 싸이클의 길이를 계산한다.
|
1
2
3
4
5
6
7
8
9
10
|
n, p = map(int,input().split())
memory = []
next_ = n
while True:
next_ = (next_*n) % p
if next_ in memory:
break
else:
memory.append(next_)
print(len(memory)-memory.index(next_))
|
cs |
문제링크:
https://www.acmicpc.net/problem/2526
2526번: 싸이클
두 자연수 N과 P를 가지고 다음 과정을 거쳐서 나오는 숫자들을 차례대로 출력해보자. 처음 출력하는 숫자는 N이고, 두 번째 이후 출력하는 숫자들은 N을 곱하고 P로 나눈 나머지를 구하는 과
www.acmicpc.net
'Algorithm > Python' 카테고리의 다른 글
| [BOJ]1916. 최소비용 구하기 (0) | 2022.02.18 |
|---|---|
| [BOJ]11689. GCD(n,k) = 1 (0) | 2022.02.16 |
| [BOJ]2641. 다각형그리기 (0) | 2022.02.11 |
| [BOJ]2660. 회장뽑기 (0) | 2022.02.10 |
| [BOJ]10827. a^b (0) | 2022.02.09 |